Ответы
Ответ дал:
1
Ответ:
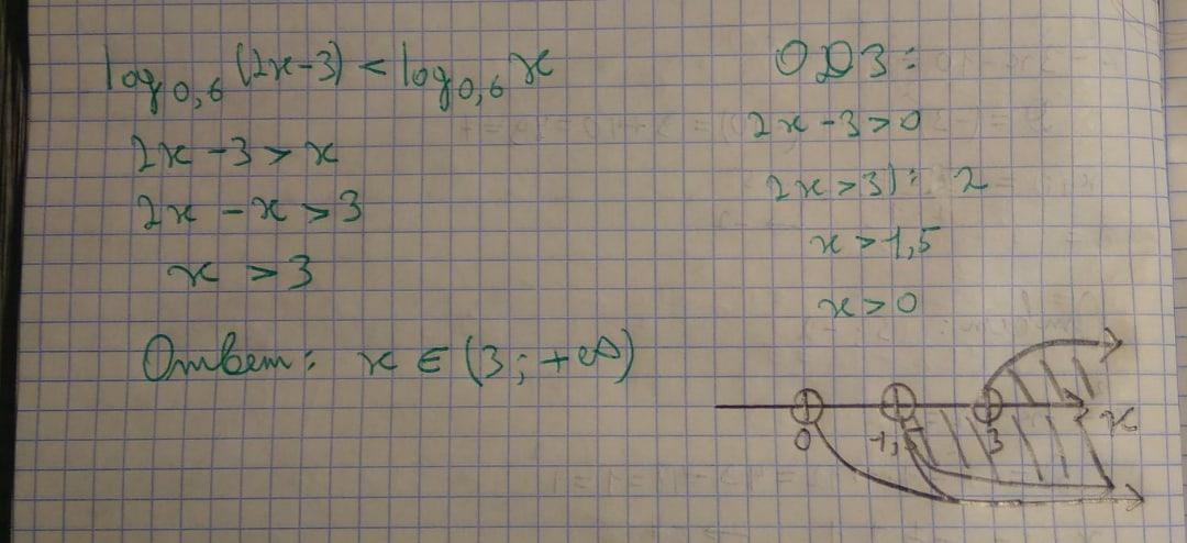
Ответ и решение на фото.
Приложения:

Ответ дал:
1
log0.6(2x-3)<log0.6(x)
Одз :
2x-3>0
2x>3
x>1.5
--------
x>0
x Є (1.5 ; +∞)
По скольку 0<0.6<1 :
2x-3>x
x>3
Ответ : x Є(3 ; +∞)
Вас заинтересует
2 года назад
2 года назад
2 года назад
7 лет назад
7 лет назад
9 лет назад