• Предмет: Математика
  • Автор: 20polinaesikova07
  • Вопрос задан 3 года назад

очень срочно помогите пожалуста по действиям​

Приложения:

Ответы

Ответ дал: Аноним
0

Відповідь:

-13/40, -9/28

Покрокове пояснення:

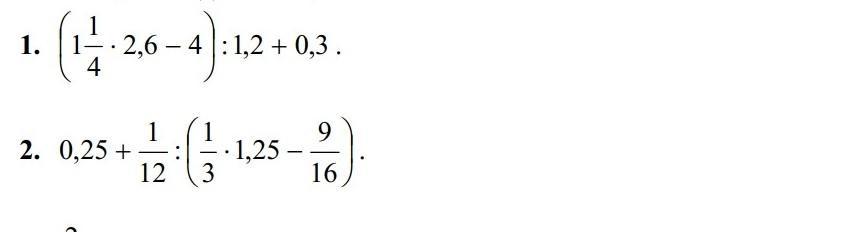
1. 1 1/4=5/4. 2.6 це 26/10=13/5.      \frac{5}{4} *\frac{13}{5} =\frac{13}{4}        \frac{13}{4} -4=-\frac{3}{4}     1.2=12/10=6/5

\frac{-3}{4} *\frac{5}{6} =\frac{-5}{8}    0.3 це 3/10. Тому \frac{3}{10} -\frac{5}{8} =\frac{12}{40} -\frac{25}{40} =-\frac{13}{40}

2.0.25 це 1/4, 1.25 це 5/4, тому \frac{1}{3} *\frac{5}{4} -\frac{9}{16} =\frac{5}{12} -\frac{9}{16}=\frac{20-27}{48} =-\frac{7}{48} \\\\\\

\frac{1}{4} +\frac{1}{12} *-\frac{48}{7} =\frac{1}{4} -\frac{4}{7} =\frac{7-16}{28} =-\frac{9}{28}

Ответ дал: iramazurk
0
1.
1) 1 1/4 * 2.6 = 1 1/4 * 2 6/10 = 1 1/4 * 2 3/5 = 5/4 * 13/5 = 13/4 = 3 1/4
2) 3 1/4 - 4 = 3 1/4 - 3 4/4 = -3/4
3) -3/4 : 1.2 = -3/4 : 1 2/10 = -3/4 : 1 1/5 = -3/4 * 5/6 = - 15/24 = -5/8
4) -5/8 + 0.3 = -5/8 + 3/10 = -25/40 + 12/40 = -13/40

2.
1) 1/3 * 1.25 = 1/3 * 1 25/100 = 1/3 * 1 1/4 = 1/3 * 5/4 = 5/12
2) 5/12 - 9/16 = 20/48 - 27/48 = -7/48
3) 1/12 : (-7/48) = 1/12 * (-48/7) = -4/7
4) 0.25 + (-4/7) = 25/100 + (-4/7) = 1/4 + (-4/7) = 7/28 + (-16/28) = -9/28
Вас заинтересует