Ответы
Ответ дал:
2
Ответ:
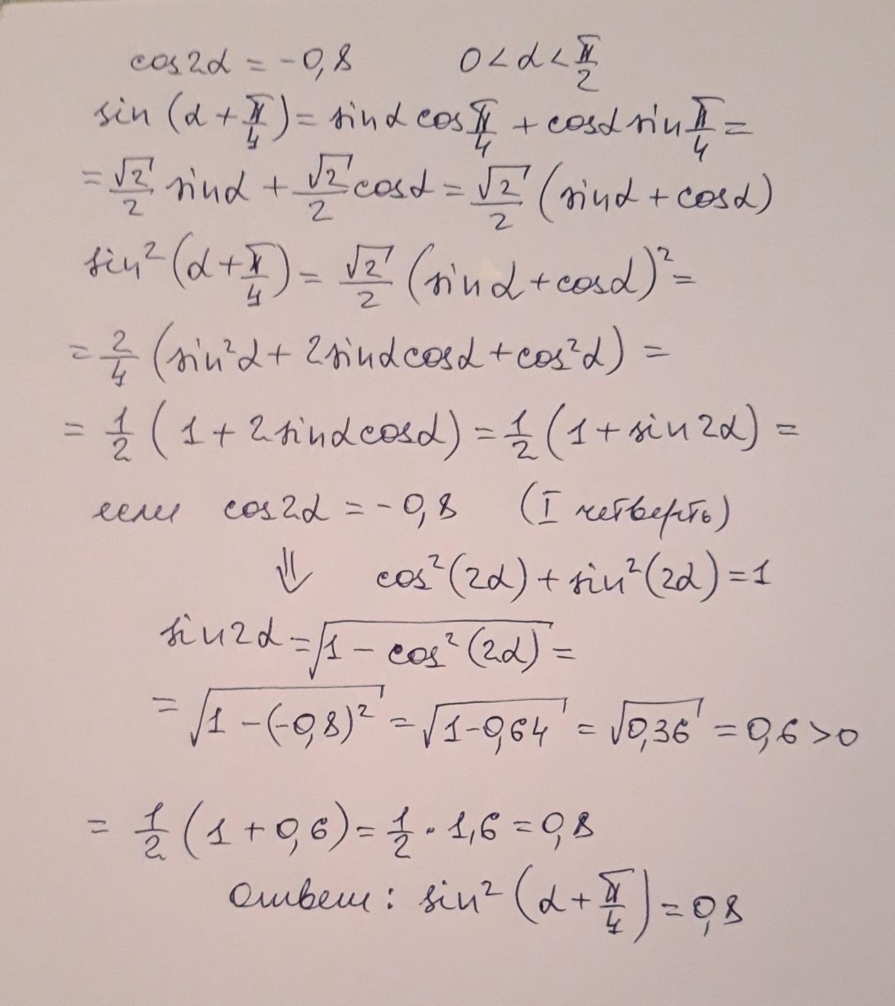
sin(a+pi/4)^1/2=0,8
егэ номер9 математика.
Пошаговое объяснение:
Приложения:

Rinbut10:
Ответ 0.8
Тогда ответ: 0,8.
Вас заинтересует
2 года назад
2 года назад
2 года назад
2 года назад
7 лет назад
7 лет назад
9 лет назад
9 лет назад