• Предмет: Математика
  • Автор: NalimLim
  • Вопрос задан 3 года назад

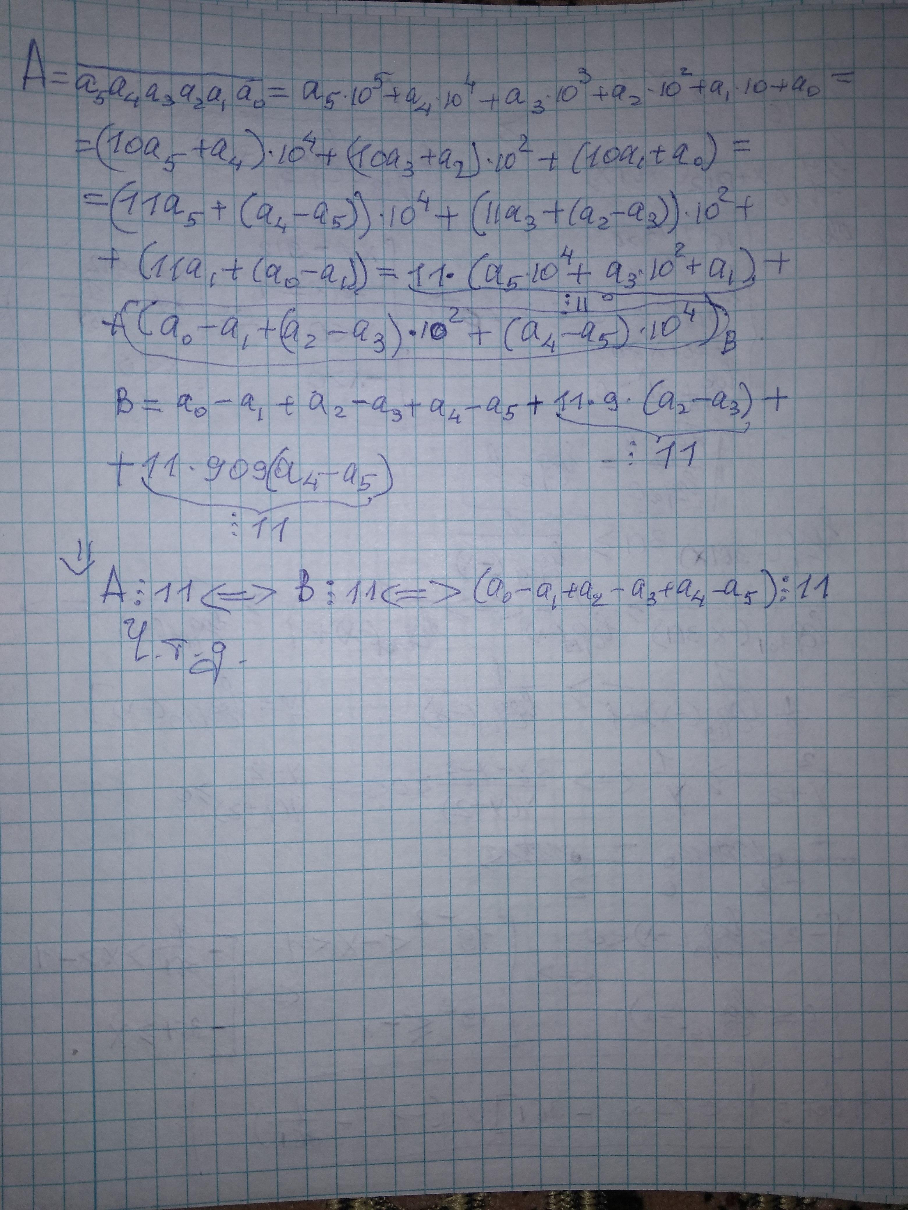
Докажите признак делимости: а5...а2а1а0 (это типо число) делится на 11 если сумма а0-а1+а2-а3+а4-а5 делится на 11. Прошу понятно объяснить.

Ответы

Ответ дал: igorShap
1

Ответ:

Пошаговое объяснение:в приложении

Приложения:
Вас заинтересует