Ответы
Ответ дал:
1
Ответ:
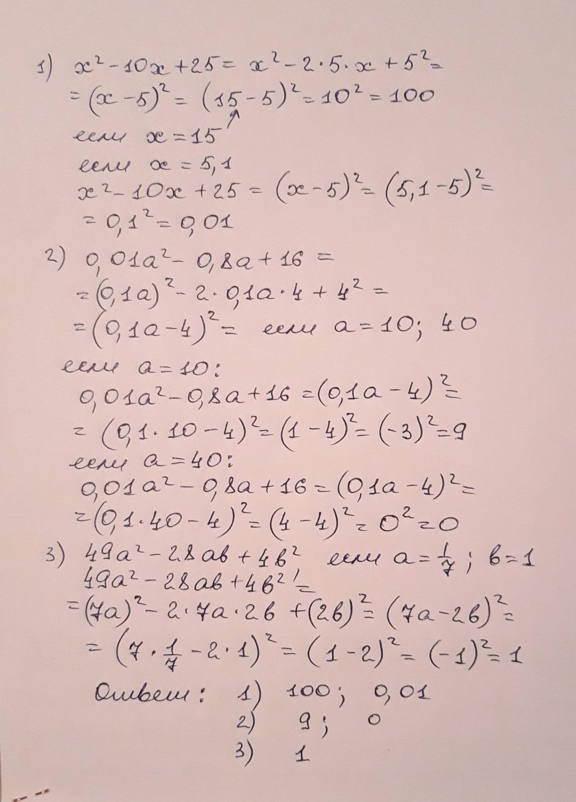
1) 100; 0,01.
2) 9; 0.
3) 1.
Вычислить значение числового
выражения.
Объяснение:
Приложения:

Вас заинтересует
2 года назад
2 года назад
2 года назад
2 года назад
7 лет назад
9 лет назад
9 лет назад