• Предмет: Алгебра
  • Автор: vityamath
  • Вопрос задан 3 года назад

Для продвинутых!!!!!!!!!!!!!!!!!!!!!

Приложения:

MrSolution: Я пока заметил, что хорошо раскладывается правая часть неравенства: 36*(x^2+2)^2*(x+1)*(x^2-x+1)
vityamath: Вообще , это неравенство 9 класса
MrSolution: Там можно x^3 вынести за скобки и будет x^3(x^4+4x^2+4)+(x^4+4x^2+4)
vityamath: а что делать с правой частью примера
MrSolution: Я про нее и говорю
MrSolution: Все, я решил
MrSolution: Там очень красиво
MrSolution: Выложи вопрос заново. Напишу ответ
vityamath: там ответы? (3+-sqrt13)/2 ; 0.5 ; 1
MrSolution: О можно ответ написать. Сейчас дам

Ответы

Ответ дал: MrSolution
4

Ответ:

(см. объяснение)

Объяснение:

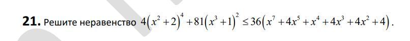
4(x^2+2)^4+81(x^3+1)^2\le36(x^7+4x^5+x^4+4x^3+4x^2+4)\\4(x^2+2)^4+81(x^3+1)^2\le36(x^3(x^4+4x^2+4)+(x^4+4x^2+4))\\4(x^2+2)^4+81(x^3+1)^2\le36(x^4+4x^2+4)(x^3+1)\\4(x^2+2)^4+81(x^3+1)^2\le36(x^2+2)^2(x^3+1)\\4(x^2+2)^4-36(x^2+2)^2(x^3+1)+81(x^3+1)^2\le0\\(2(x^2+2)^2-9(x^3+1))^2\le0\\2(x^2+2)^2-9(x^3+1)=0\\2(x^4+4x^2+4)-9x^3-9=0\\2x^4-9x^3+8x^2-1=0\\2x^4-2x^3-7x^3+7x^2+x^2-x+x-1=0\\2x^3(x-1)-7x^2(x-1)+x(x-1)+(x-1)=0\\(x-1)(2x^3-7x^2+x+1)=0\\(x-1)(2x^3-x^2-6x^2+3x-2x+1)=0

(x-1)(x^2(2x-1)-3x(2x-1)-(2x-1))=0\\(x-1)(2x-1)(x^2-3x-1)=0\\\left[\begin{array}{c}x-1=0\\2x-1=0\\x^2-3x-1=0\end{array}\right,\\\\\\1)\\x-1=0\\x=1\\\\2)\\2x-1=0\\2x=1\\x=\dfrac{1}{2}\\\\3)\\x^2-3x-1=0\\D=9+4=13\\\sqrt{D}=\sqrt{13}\\x_{1,2}=\dfrac{3\pm\sqrt{13}}{2}\\\\\left[\begin{array}{c}x=1\\x=\dfrac{1}{2}\\x=\dfrac{3+\sqrt{13}}{2}\\x=\dfrac{3-\sqrt{13}}{2}\end{array}\right;

Неравенство решено!


MrSolution: Дать ссылку можно, вроде бы.
vityamath: а как вы сделали знак совокупности?
MrSolution: В редакторе формул. Вам сложно дать ссылку?
Аноним: а почему неравенство превратили в уравнение?
MrSolution: Потому что выражение в квадрате дает наименьшее значение 0.
Аноним: не убедили
MrSolution: Просят найти значение, которое меньше или равно 0. Меньше 0 мы получить никак не можем, т.к. выражение в квадрате больше или равно 0. Поэтому единственное значение, которое возможно получить и которое удовлетворяет неравенству - это 0. Поэтому от неравенства перешли к уравнению.
Аноним: решение отпад!
Аноним: супер!
Аноним: в последнем неравенстве не вижу квадратов
Вас заинтересует