• Предмет: Алгебра
  • Автор: kriv4a
  • Вопрос задан 3 года назад

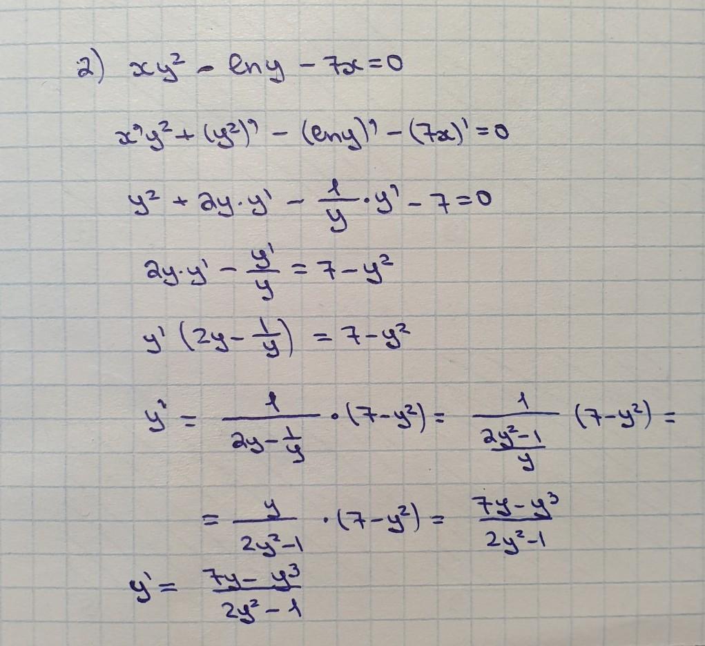
найти производную y'(x) функции 1) y= (arctg5x)/(√1+√3x) 2)xy²-㏑y-7x=0 3)\left \{ {{x=t*sin2t} \atop {y=t-cost}} \right.


Miroslava227: В 1) там под корнем полностью выражение (1+3x)^(1/2) или так: 1+(3х)^(1/2). А то как-то странно

Ответы

Ответ дал: Miroslava227
1

Ответ:

решение на фотографиях

Приложения:
Вас заинтересует