• Предмет: Математика
  • Автор: makstkachenko1
  • Вопрос задан 3 года назад

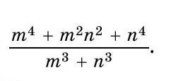
Будь ласка скоротіть дріб​

Приложения:

Ответы

Ответ дал: Alexandr130398
1

Ответ:

\frac{m^2+mn+n^2}{m+n}

Пошаговое объяснение:

=\frac{(m^2-n^2)(m^4+m^2n^2+n^4)}{(m^3+n^3)(m^2-n^2)} =\frac{m^6-n^6}{(m^3+n^3)(m^2-n^2)} =\frac{(m^3+n^3)(m^3-n^3)}{(m^3+n^3)(m^2-n^2)} =\frac{m^3-n^3}{m^2-n^2}= \\ \\ = \frac{(m-n)(m^2+mn+n^2)}{(m-n)(m+n)} =\frac{m^2+mn+n^2}{m+n}

Вас заинтересует