Ответы
Ответ дал:
2
Ответ дал:
0
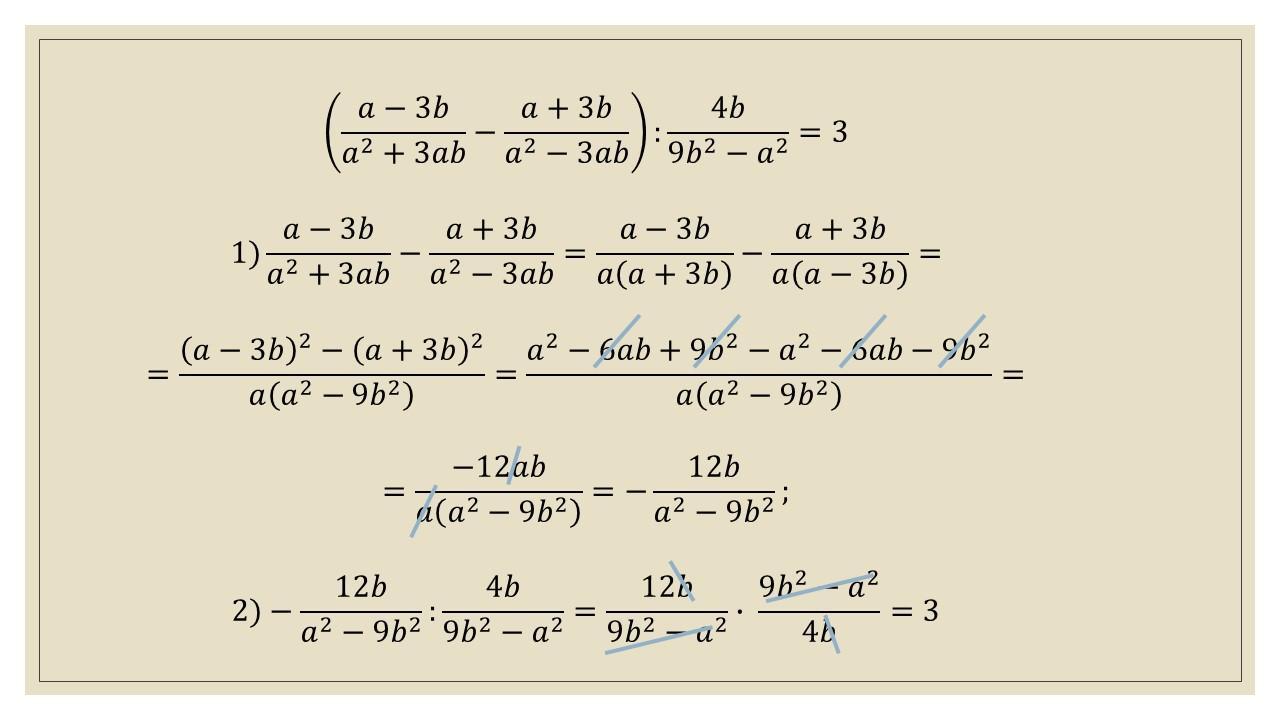
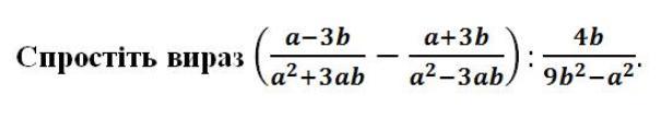
Ответ:
3
Пошаговое объяснение:
Приложения:

Вас заинтересует
2 года назад
2 года назад
2 года назад
7 лет назад
7 лет назад
9 лет назад