Ответы
Ответ дал:
2
..........................
Приложения:

Ответ дал:
0
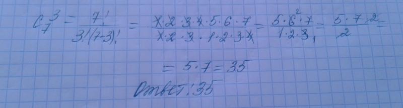
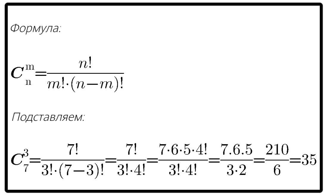
Решение во вложении...
Ответ:последний вариант верный-35.
Приложения:

Вас заинтересует
2 года назад
2 года назад
2 года назад
2 года назад
7 лет назад
9 лет назад