• Предмет: Математика
  • Автор: albina1795
  • Вопрос задан 3 года назад

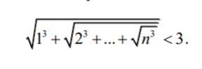
Доказать, что для всех натуральных n верно неравенство:

Приложения:

Ответы

Ответ дал: Guerrino
3

Пусть последовательность \{a_{n}\} такова, что для всех k\geq m выполнено неравенство \sqrt{2a_{k+1}}\leq a_{k. Тогда верно неравенство \sqrt{a_{1}^3+\sqrt{a_{2}^3+...+\sqrt{a_{n}^3}}}\leq \sqrt{a_{1}^3+\sqrt{a_{2}^3+...+\sqrt{2a_{m}^3}}}.  Это легко видеть, заменяя члены с использованием неравенства.

В нашем случае a_{n}=n^3, неравенство \sqrt{2(k+1)^3}\leq k^3 верно для всех натуральных k\geq 3. Значит, искомая сумма не превосходит \sqrt{1^3+\sqrt{2^3+\sqrt{2\times3^3}}}<\sqrt{1^3+\sqrt{2^3+\sqrt{64}}}<\sqrt{5}<3. Для n=1,\; n=2 очевидно.


polka125: В первом неравенстве n и m в каких отношениях находятся?
polka125: так, я начинаю что-то понимать
polka125: а, нет, показалось
polka125: а, всё, всё понял, великолепное решение, побольше бы таких
albina1795: При доказательстве использовалось неравенство: корень (2(к+1)^3)<=k^3. Как то доказать? Вынесла вопрос отдельной задачей.
Вас заинтересует