• Предмет: Алгебра
  • Автор: kyp56598
  • Вопрос задан 3 года назад

Кто сколько сможет, пожалуйста

Приложения:

Ответы

Ответ дал: binamaksimchuk
0

Ответ:

Объяснение:

(\frac{3a^{5} }{a^{2} } )^{3} =\frac{27a^{15} }{a^{6} } =27a^{9}

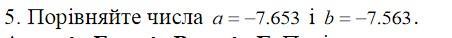
-7,653 < -7,563

Ответ дал: cooolery
0

Ответ:

1)(\frac{3a^5}{a^2})^3=\frac{21a^{15}}{a^6}=21a^9\\\\2)-7.653&lt;-7.563

Вас заинтересует