Ответы
Ответ дал:
0
Ответ:
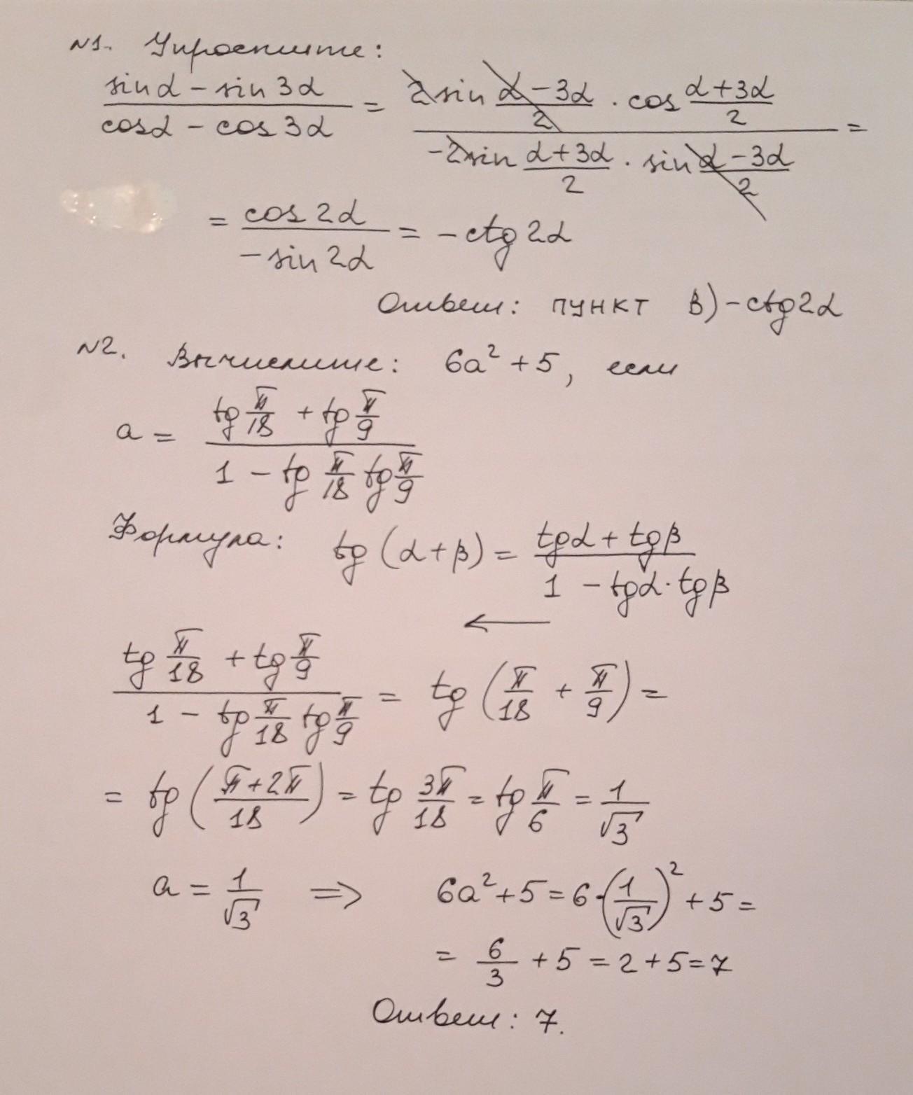
1) Пункт В) - сtg2a
2) 7
Объяснение:
Приложения:

Вас заинтересует
2 года назад
2 года назад
2 года назад
7 лет назад
9 лет назад
9 лет назад