Ответы
Ответ дал:
3
Формулы:
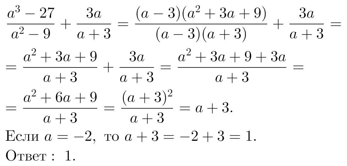
а³–b³= (a–b)(a²+ab+b²).
a²–b²= (a–b)(a+b).
(a+b)²= a²+2ab+b².
Приложения:

Kierra:
(а–1) в числителе и в знаменателе сокращаются, остаётся (2а+1)/(а+1)
2х–х= х(а–1). Помним, что такое х? Отсюда и получается
а(2а+1)–(2а+1)=(2а+1)(а–1). Повторите тему:)
Вас заинтересует
2 года назад
2 года назад