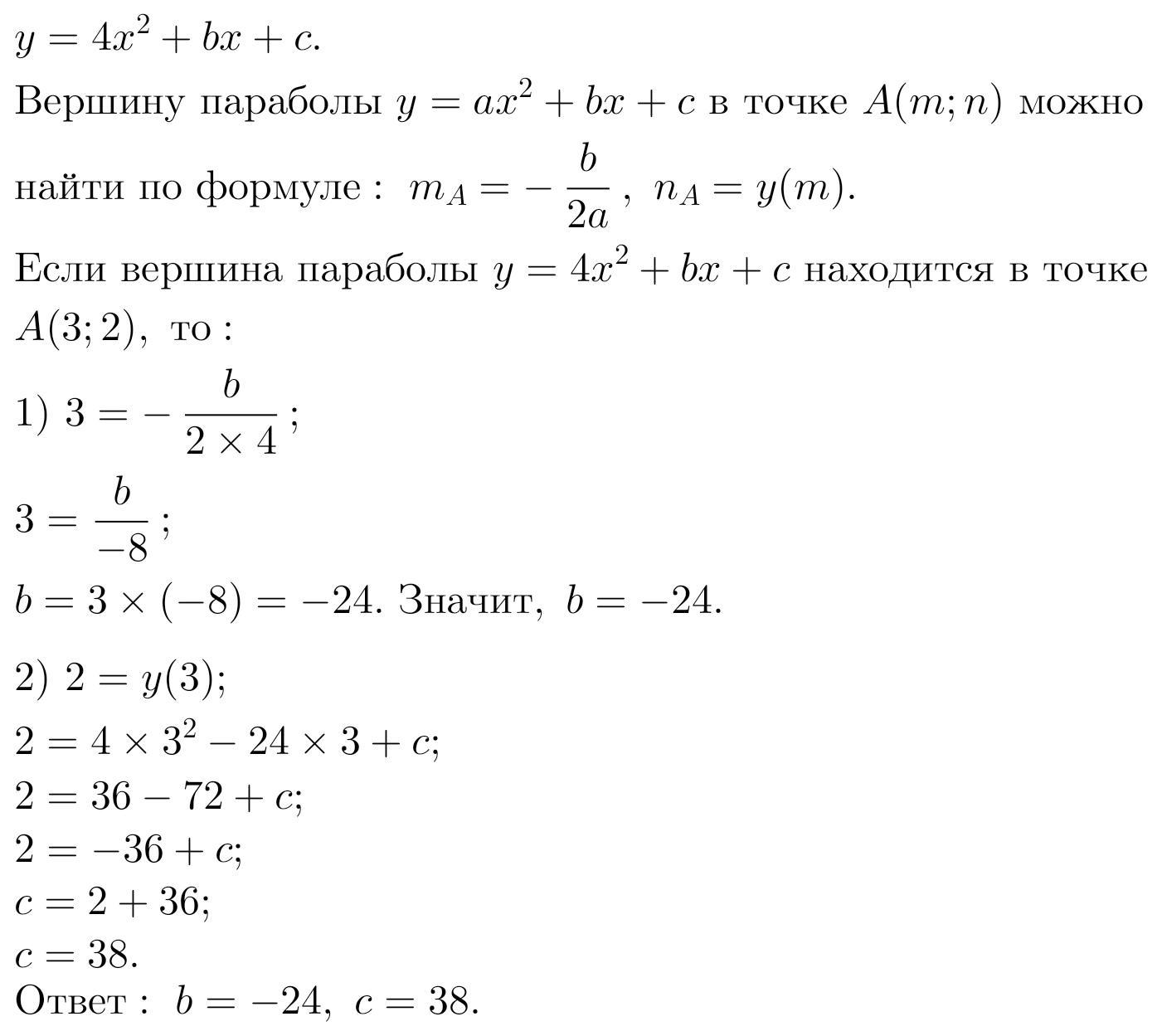
Вершина параболи у=4х^2+bx+c знаходиться а точці А(3;2) при умові... а) b=1; c=39; б) b=-24; c=38; в) b=3; c=2; г) b=2; c=3.
Ответы
Ответ дал:
3
~~~~~~~~~~~~~~~~~~~~
Приложения:

Вас заинтересует
2 года назад
2 года назад
2 года назад
9 лет назад