• Предмет: Алгебра
  • Автор: mikimaus33
  • Вопрос задан 3 года назад

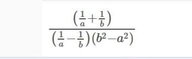
Упростите выражение:

Приложения:

Ответы

Ответ дал: DeeZzable
4

Ответ:

1/(b-a)²

Объяснение:

писать было негде, нашел эту лавочку xd

Приложения:

Аноним: а ты знаешь ли креативный.
Ответ дал: Аноним
1

1) (1/а)+(1/b)=(а+b)/(ab)

2) (1/a)-(1/b)=(b-a)/(ab)

3) (а+b)/(ab)) /((b-a)/(ab))=(a+b)/(b-a)

4)(a+b)/((b²-a²)(b-a))=1/(b-a)²=1/(b²-2ba+a²)

Вас заинтересует