• Предмет: Математика
  • Автор: Аноним
  • Вопрос задан 3 года назад

1-3 нужно срочно полное описание Огромное спасибо

Приложения:

Аноним: даю 35 баллов

Ответы

Ответ дал: Аноним
1

Ответ:

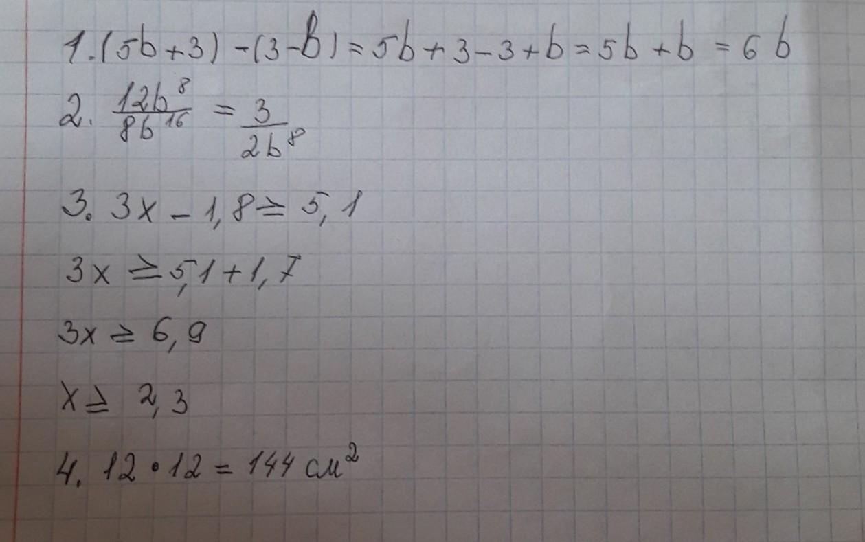
1. г) 6b

2. г) 3/2b⁸

3. б) x ≥ 2.3

4. а) 144 см²

Пошаговое объяснение:

1. (5b+3)-(3-b) = 5b+3-3+b = 5b+b = 6b

2.  12b⁸/8b¹⁶ = 3/2b⁸

3. 3x-1.8 ≥ 5.1

3x ≥ 5.1+1.7

3x ≥ 6.9

x ≥ 2.3

4. 12*12=144 см²


Аноним: Спасибо)))))
Аноним: Не за что)))))
Ответ дал: oksanafjodorova12345
0

Ответ:

Решение во вложении.

Приложения:

Аноним: спасибо
Вас заинтересует