Срочно!!! Алгебра 11 калсс!!!
Приложения:

nikdomha:
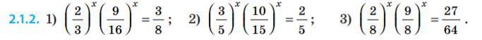
Так как степени одинаковые, можно перемножить между собой скобки. Тоесть (2/3 * 9/16)^x = 3/8 => (3/8)^x = 3/8 => x = 1. Другие задачи решаются также
Ответы
Ответ дал:
4
Объяснение:
Решение на фото
Приложения:

Вас заинтересует
2 года назад
2 года назад
7 лет назад
7 лет назад
9 лет назад