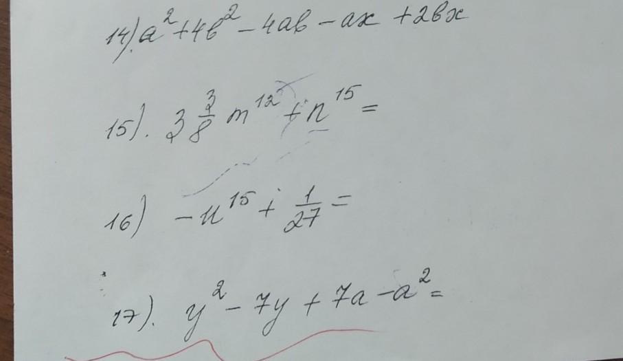
ПОЖАЛУЙСТА ОЧЕНЬ СРОЧНО! ПРЕОБРАЗОВАНИЕ ЦЕЛЫХ ВЫРАЖЕНИИ! РАЗЛОДИТЬ НА МНОЖИТЕЛИ! 4 задании!
Приложения:

Ответы
Ответ дал:
2
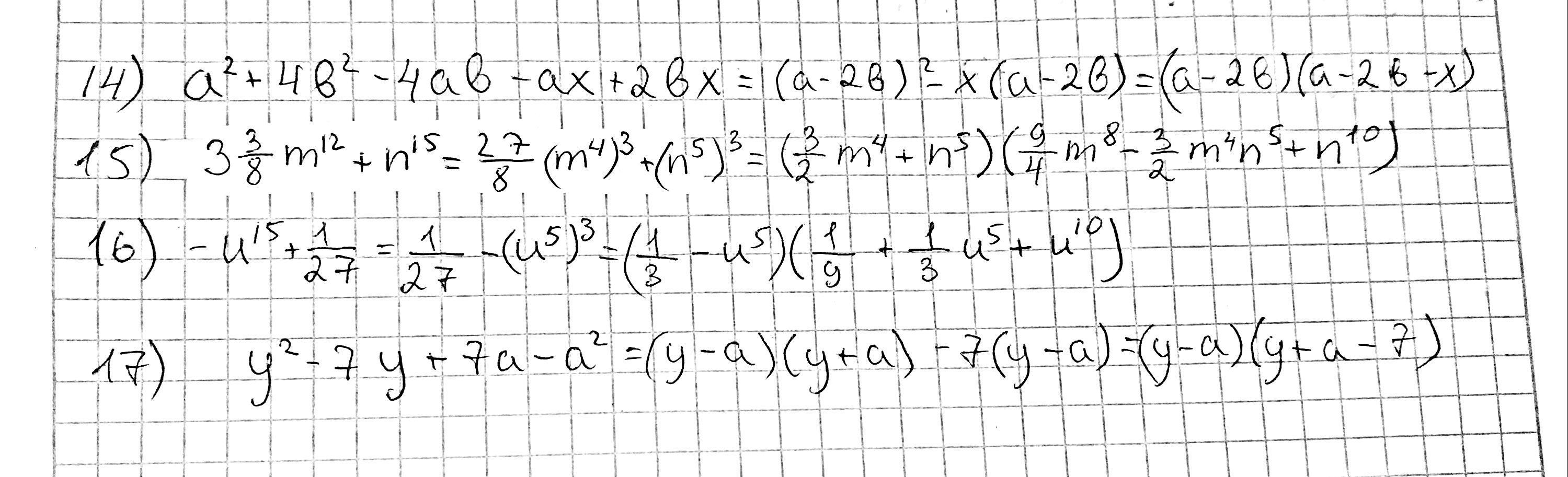
Ответ:
Пошаговое объяснение: (во вложении)
Приложения:

Ответ дал:
0
Ответ:
Пошаговое объяснение:
Приложения:

Вас заинтересует
2 года назад
2 года назад
2 года назад
2 года назад
7 лет назад
7 лет назад
9 лет назад