• Предмет: Алгебра
  • Автор: Аноним
  • Вопрос задан 3 года назад

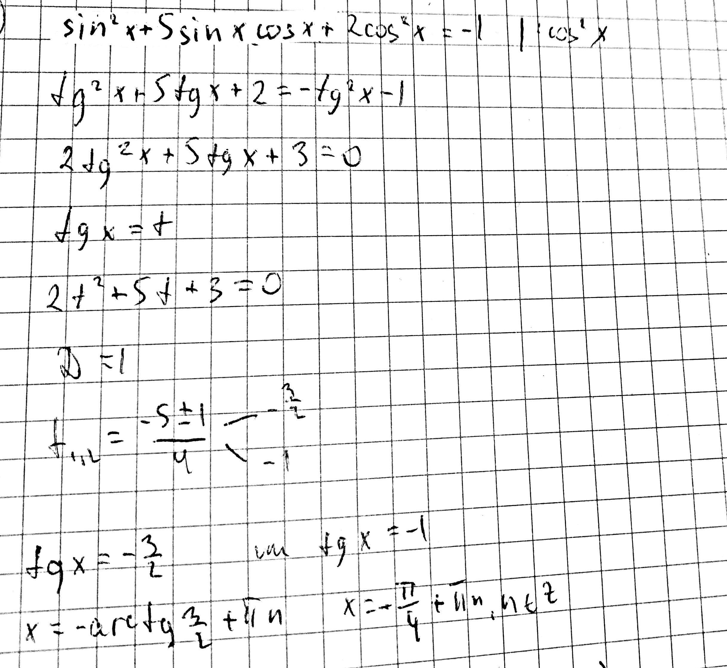
Решить уравнение
sin^2(x)+5sinx*cosx+2cos^2(x)=-1

Ответы

Ответ дал: Ифигения
1

Ответ:

Объяснение: (во вложении)

Приложения:
Ответ дал: sharofat0
0

Х(1)=-pi/4+2pik; k€Z

X(2)=3/4pi+2pik; k€Z.

X(3)=-arctg3/2+pik; k€Z.

Приложения:
Вас заинтересует