Ответы
Ответ дал:
4
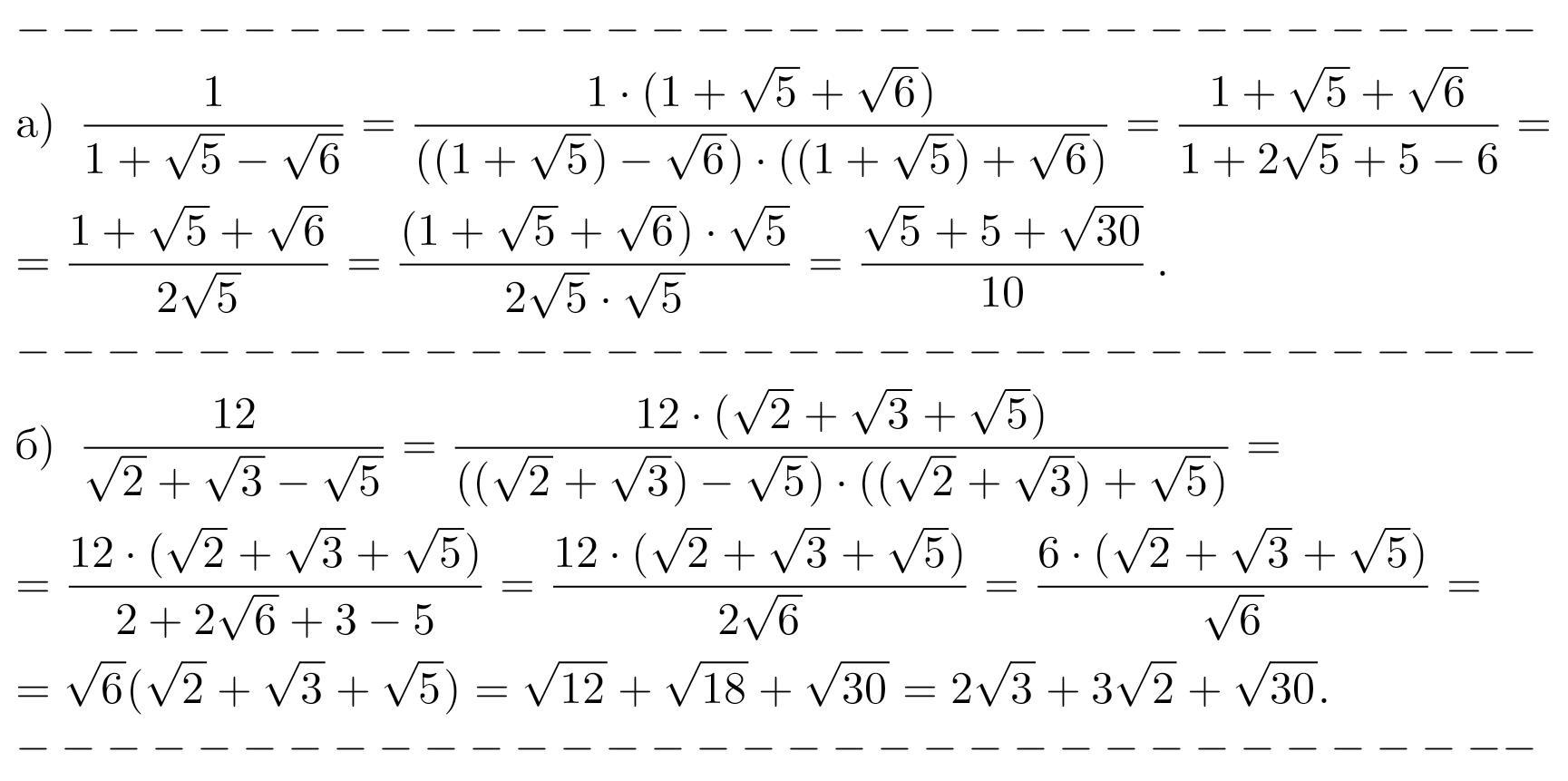
Не стоит забывать, что (a–b)(a+b)= a²–b².
Решение во вложении...
Приложения:

Вас заинтересует
2 года назад
2 года назад
2 года назад
7 лет назад
7 лет назад
9 лет назад
9 лет назад