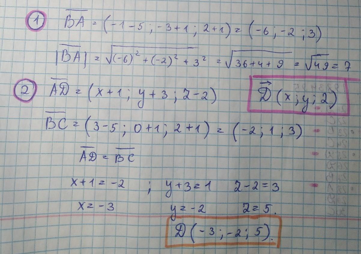
Даны точки A(-1;-3;2), В(5;-1;-1), С(3;0;2). а) Найдите координаты и модуль вектора ВА . б) Найдите координаты точки D, если AD = BC Пожалуйста, с полным решением)
dnepr1:
Чтобы найти координаты точки D, условия AD = BC мало. Надо знать - как она связана с заданными точками или условие её расположения.
Ответы
Ответ дал:
7
Ответ:
решение во вложении.
Использовались формулы координат вектора и формула длины вектора
Приложения:

Вас заинтересует
2 года назад
7 лет назад
7 лет назад
9 лет назад
9 лет назад