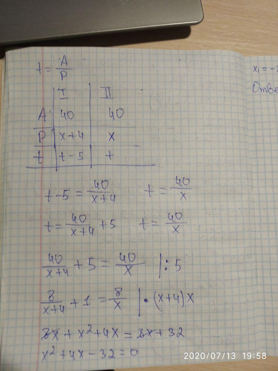
первый рабочий делает 40 деталей на 5 часов быстрее чем второй. сколько делатей в час делает второй рабочий, если известно, что первый за час делает на 4 детали больше?
Подробное решение
Ответы
Ответ дал:
2
Ответ:
Объяснение:
Ответ на фото
Приложения:


Вас заинтересует
2 года назад
2 года назад
2 года назад
7 лет назад
7 лет назад
9 лет назад
9 лет назад