• Предмет: Математика
  • Автор: okeisy
  • Вопрос задан 3 года назад

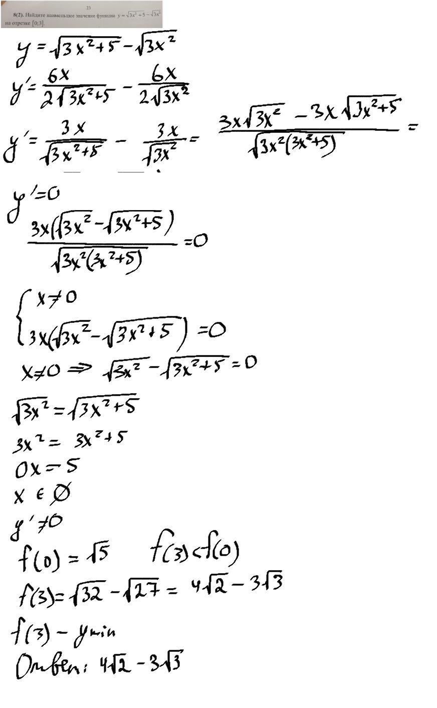
Решите 8(2) пожалуйста ​

Приложения:

domnikOmaths: с производной? 10 класс?
okeisy: да, 10

Ответы

Ответ дал: ivanrozb4225
1

Ответ:

посмотри фото

Пошаговое объяснение:

Приложения:

okeisy: спасибо большое, можно ещё решить домножим и поделив на sqrt 3x^2+5 + sqrt 3x^2, и будет такой же ответ. спасибо за помощь
Ответ дал: domnikOmaths
0

Ответ:

на фото

Пошаговое объяснение:

Приложения:
Вас заинтересует