• Предмет: Математика
  • Автор: omarovt5946
  • Вопрос задан 3 года назад

Помогите с математикой

Приложения:

Ответы

Ответ дал: atamuradovaparvina
2

Пошаговое объяснение:

x это константа)........

Приложения:

gal4enok0071: В пре
atamuradovaparvina: да я там ошиблась (
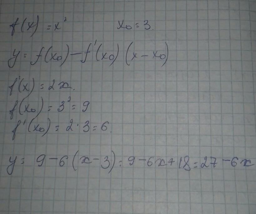
Ответ дал: gal4enok0071
2
Как то так! Удачи!!!
Приложения:

gal4enok0071: В первом ответе ошибочка....
atamuradovaparvina: да( там я минус поставила
Вас заинтересует