• Предмет: Математика
  • Автор: jhaiqoJ
  • Вопрос задан 3 года назад

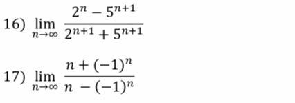
Не могли бы вы решить эти вопросы полностью, пожалуйста?

Приложения:

Аноним: нет

Ответы

Ответ дал: tolya91
0

Ответ:

16)-1

17)1

Пошаговое объяснение:

→  -  обозн стремится

16)2^n→+∞

5^(n+1)→+∞

(2^n)-5^(n+1)→-∞

(2^(n+1))+5^(n+1)→+∞

-∞/+∞=-1

17)n→+∞

(-1)^n∈[-1;1]

n+(-1)^n→+∞

n-(-1)^n→+∞

ответ: 1

Вас заинтересует