Ответы
Ответ дал:
2
Ответ:
-9
Пошаговое объяснение:
Смотри приложение...
Приложения:

Ответ дал:
1
Ответ:
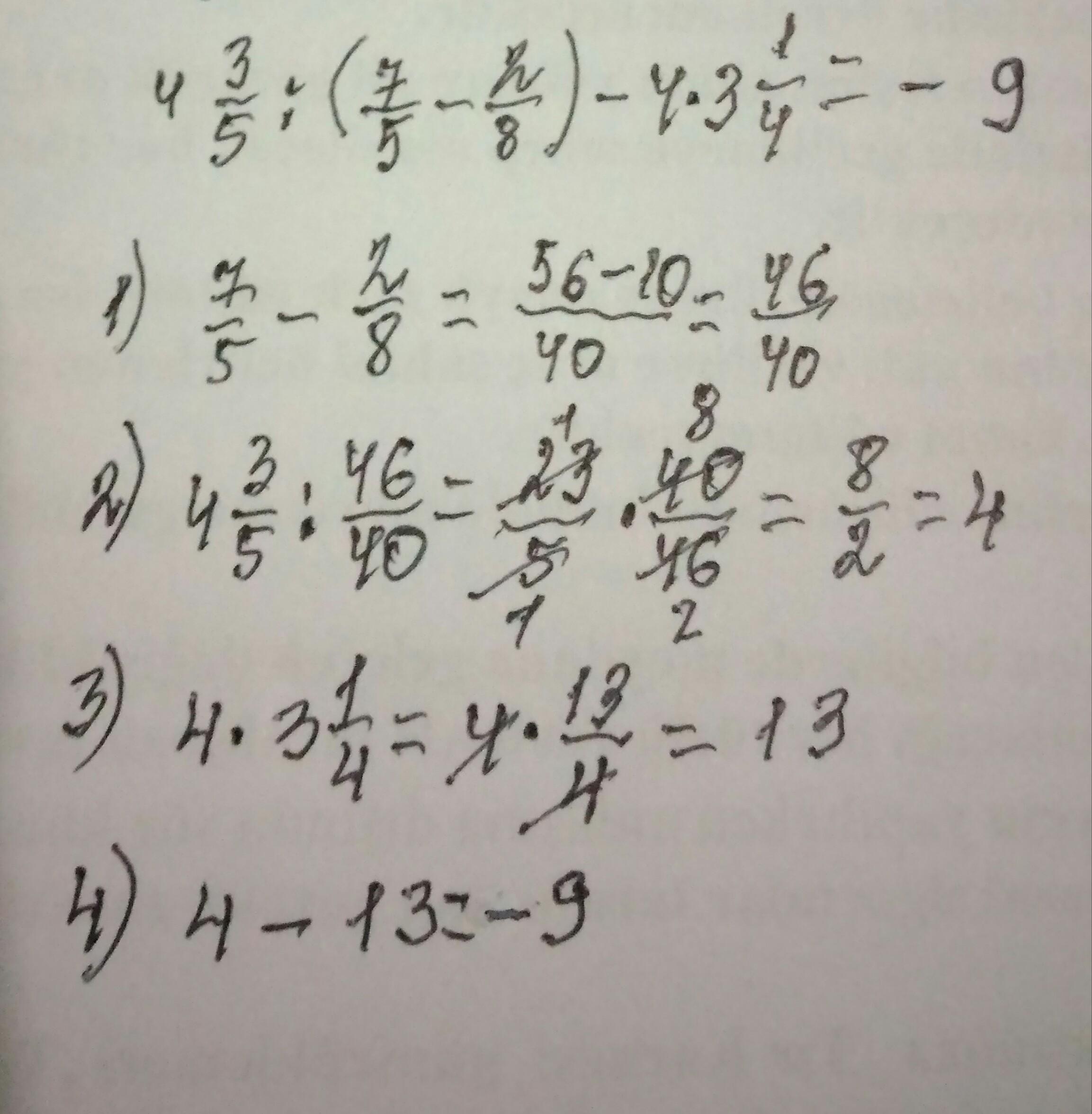
вычислите 4 3\5:(7\5-2\8)-4*3 1\4
1)
2)4 3\5:46/40 ==4
3)4*3 1\4=4*13/4=13
4)4-13=-9
Пошаговое объяснение:
Вас заинтересует
2 года назад
2 года назад
7 лет назад
7 лет назад
9 лет назад
9 лет назад