• Предмет: Алгебра
  • Автор: lilayt59
  • Вопрос задан 3 года назад

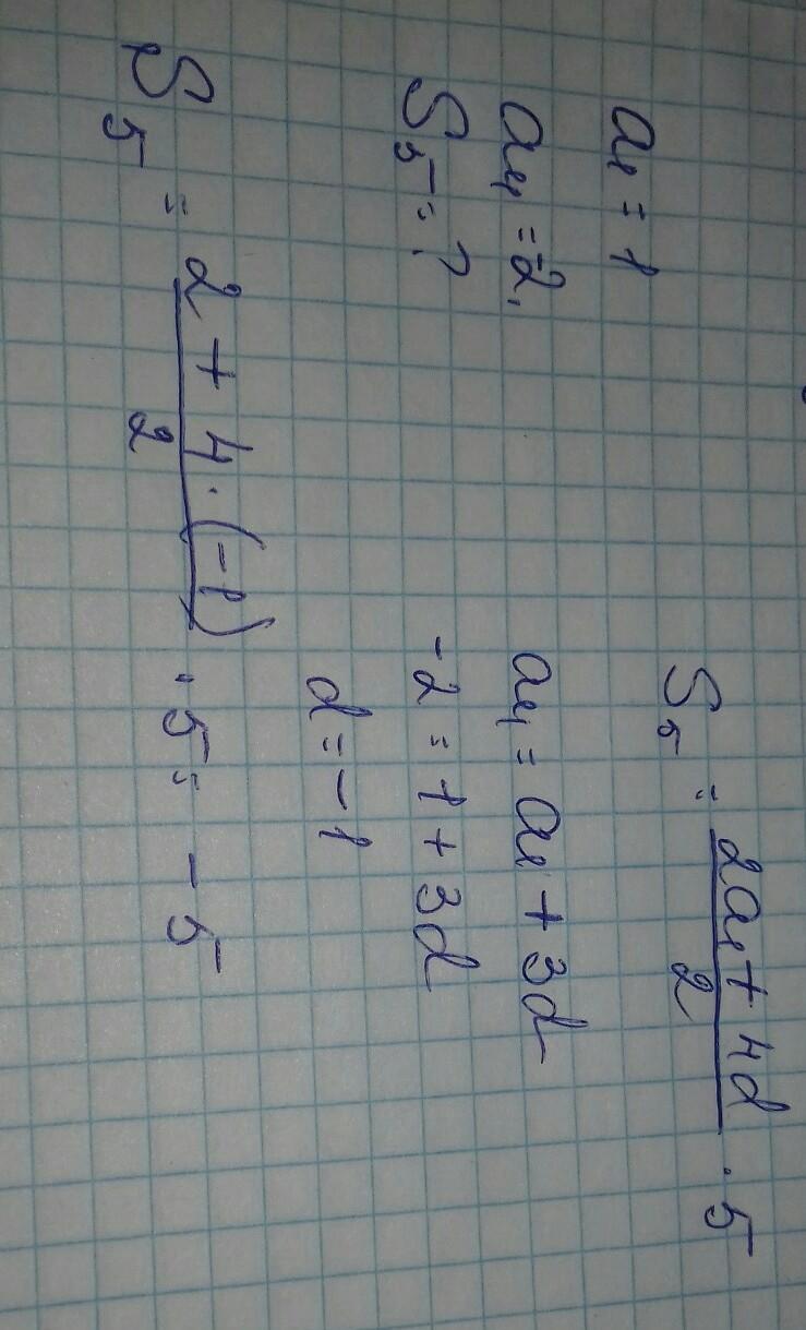
Даны два члена арифметической прогрессии а1=1; а4=-2. Найти сумму первых пяти членов.​

Ответы

Ответ дал: bagirliii13
0

всё там написано......

Приложения:
Ответ дал: atamuradovaparvina
2

Объяснение:

☆☆☆☆☆☆☆☆☆☆☆☆☆☆☆☆☆☆☆☆☆☆☆

Приложения:
Вас заинтересует