Ответы
Ответ дал:
1
Смотри........................
Приложения:

aaaaaaaaaaaaaa031:
А ПОМОГИТЕ С 1 ВОПРОСОМ
Ответ дал:
3
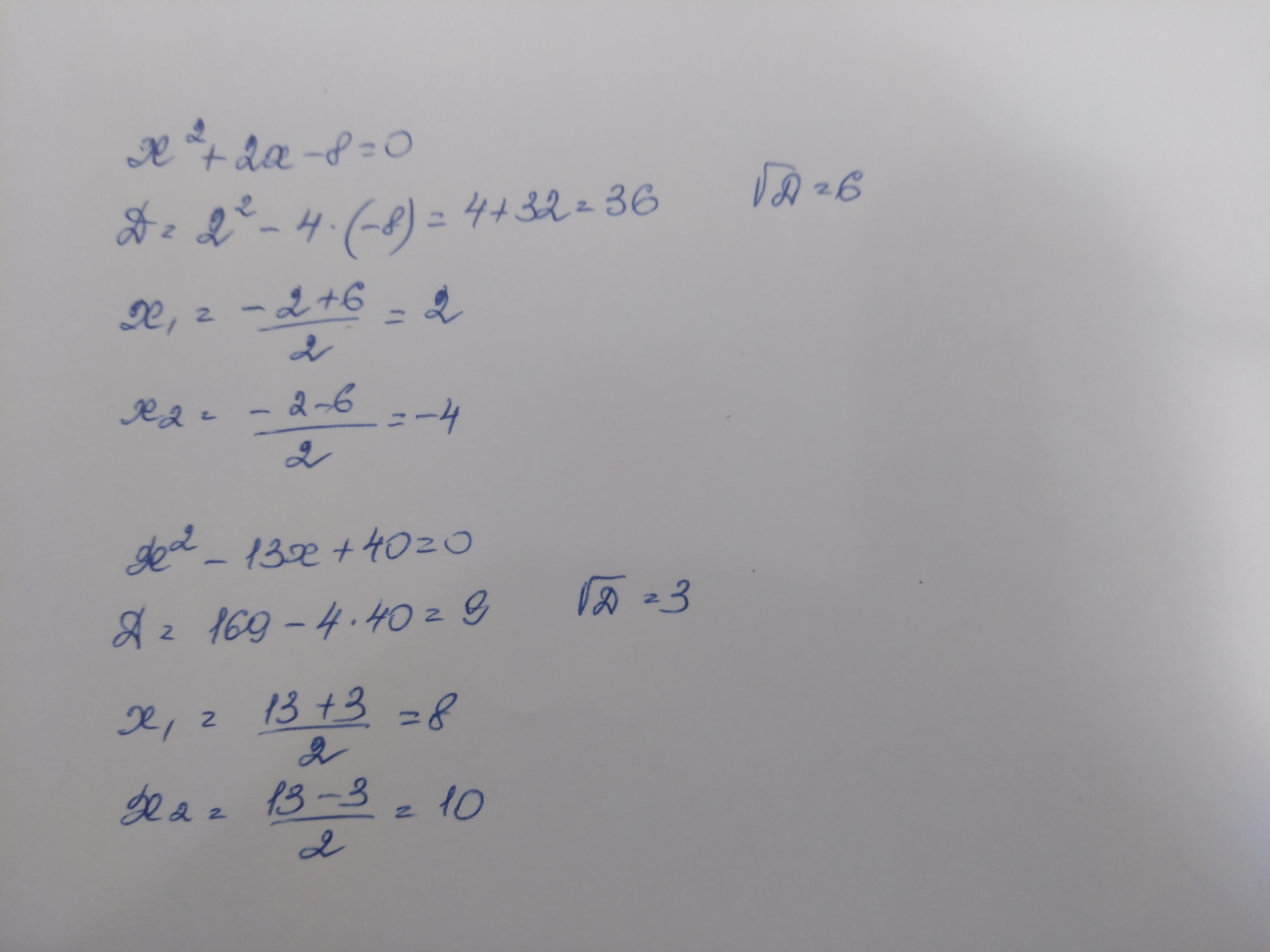
Ответ:
1) x=2; -4
2) x=8; 5
Пошаговое объяснение:
x²+2x-8=0
D=4+32=36=6²
x(1)=-2+6/2=4/2=2
x(2)=-2-6/2=-8/2=-4
x²-13x+40=0
D=169-160=9=3²
x(1)=13+3/2=16/2=8
x(2)=13-3/2=10/2=5
Вас заинтересует
2 года назад
2 года назад
7 лет назад
9 лет назад