• Предмет: Математика
  • Автор: okeisy
  • Вопрос задан 3 года назад

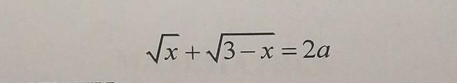
Найдите все значения параметра а, при каждом из которых уравнение имеет ровно 2 решения​

Приложения:

Ответы

Ответ дал: Guerrino
1

1. Пусть f=\sqrt{x}, g=\sqrt{3-x}. Заметим, что f' и g' монотонно убывают, значит, (f+g)'=f'+g' функция монотонная, следовательно, имеет не более одного корня. Из этого следует, что у уравнения f+g=a,\; a\in\mathbb{R} не более двух корней.

2. Заметим, что если x_{0} является решением, то 3-x_{0} тоже. Очевидно, что x=3/2 является осью симметрии (причем единственной) графика f+g. Иначе говоря, пара x_{0},\; 3-x_{0} исчерпывает все решения указанного уравнения, если таковые имеются. Значит, достаточно потребовать, чтобы x_{0}\neq3-x_{0} \Leftrightarrow x_{0}\neq 3/2. Итак, 2a пробегает область значения рассматриваемой функции, кроме того a, которому соответствует x=3/2 (это 2\sqrt{3/2}).

3. Функция непрерывна, поэтому достаточно посмотреть на наименьшее и наибольшее значения. Наименьшее значение достигается в 0 (то есть значение \sqrt{3}, а наибольшее в x=3/2. Получаем ответ:   2a\in [\sqrt{3},\;2\sqrt{3/2})\Leftrightarrow a\in[\sqrt{3}/2,\;\sqrt{3/2})

Ответ дал: Аноним
2

Графический способ решения.

Приложения:
Вас заинтересует