Ответы
Ответ дал:
1
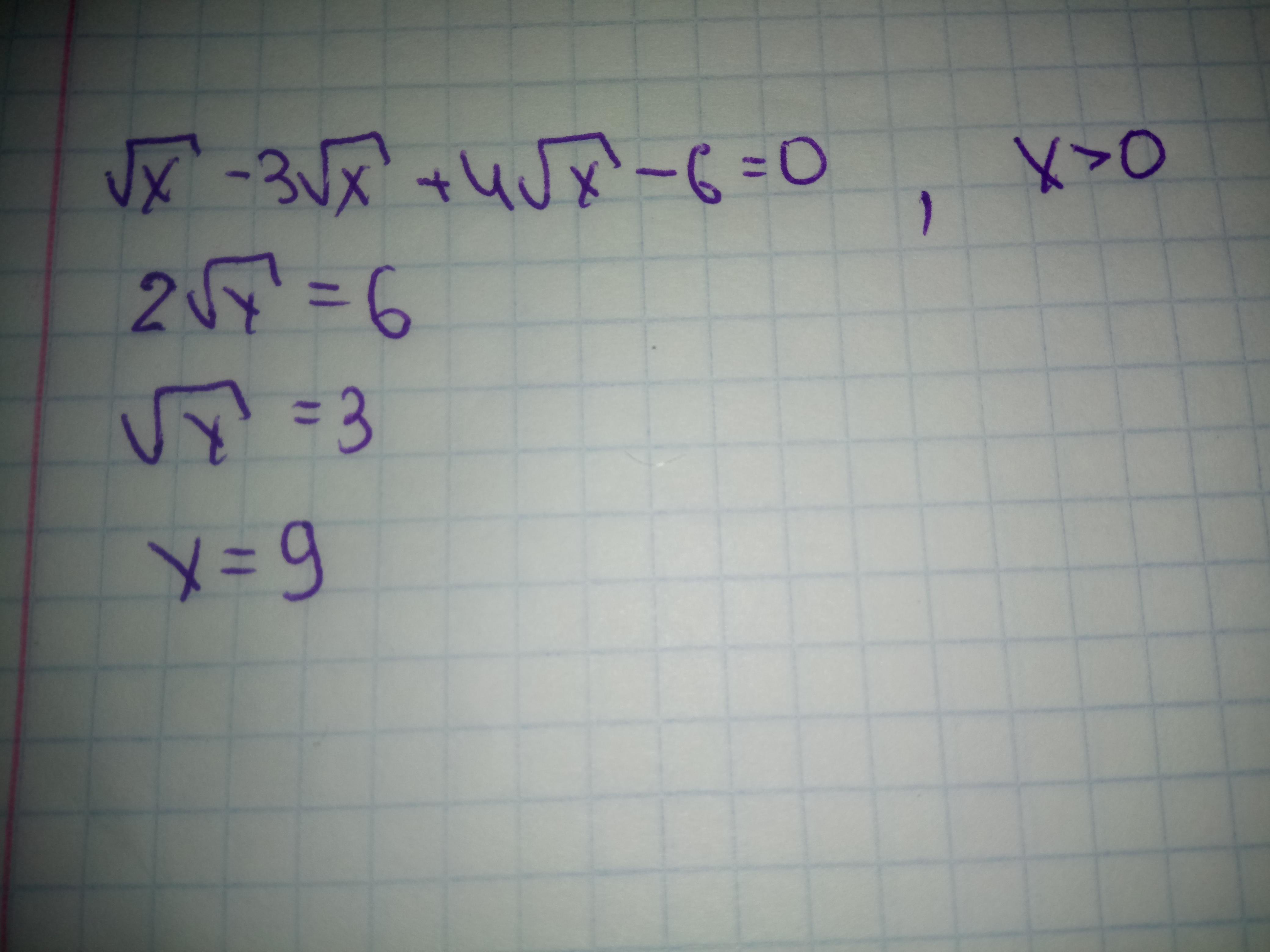
Решение задания прилагаю. Ответ 9.
Приложения:

mhorpynyuk:
благодарю!
Ответ дал:
1
√x+3√+4√-6=0
Теперь
√2x =6
√x=3
И значит
x=9
Т@к вот
Вас заинтересует
2 года назад
7 лет назад
7 лет назад
9 лет назад