помогите пожалуйста не блокаде
Приложения:

Evgenia4836:
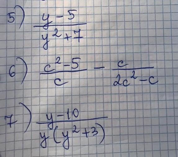
если внятного задания не будет, я удалю все. задание это сократить дробь, упростить дробь, найти производную, найти область определения
Ответы
Ответ дал:
1
Ответ:
Объяснение:
5) y∈R
6) c≠0
c(2c-1)≠0
c≠0, c≠0,5
c∈(-∞;0)(0;0,5)(0,5;+∞)
7) y≠0
y²≠-3
y∈(-∞;0)(0;+∞)
Вас заинтересует
2 года назад
2 года назад
2 года назад
7 лет назад
7 лет назад
9 лет назад