вот это тоже уравнение
Приложения:

raximovjasur508:
что трудно решить ?
Ответы
Ответ дал:
2
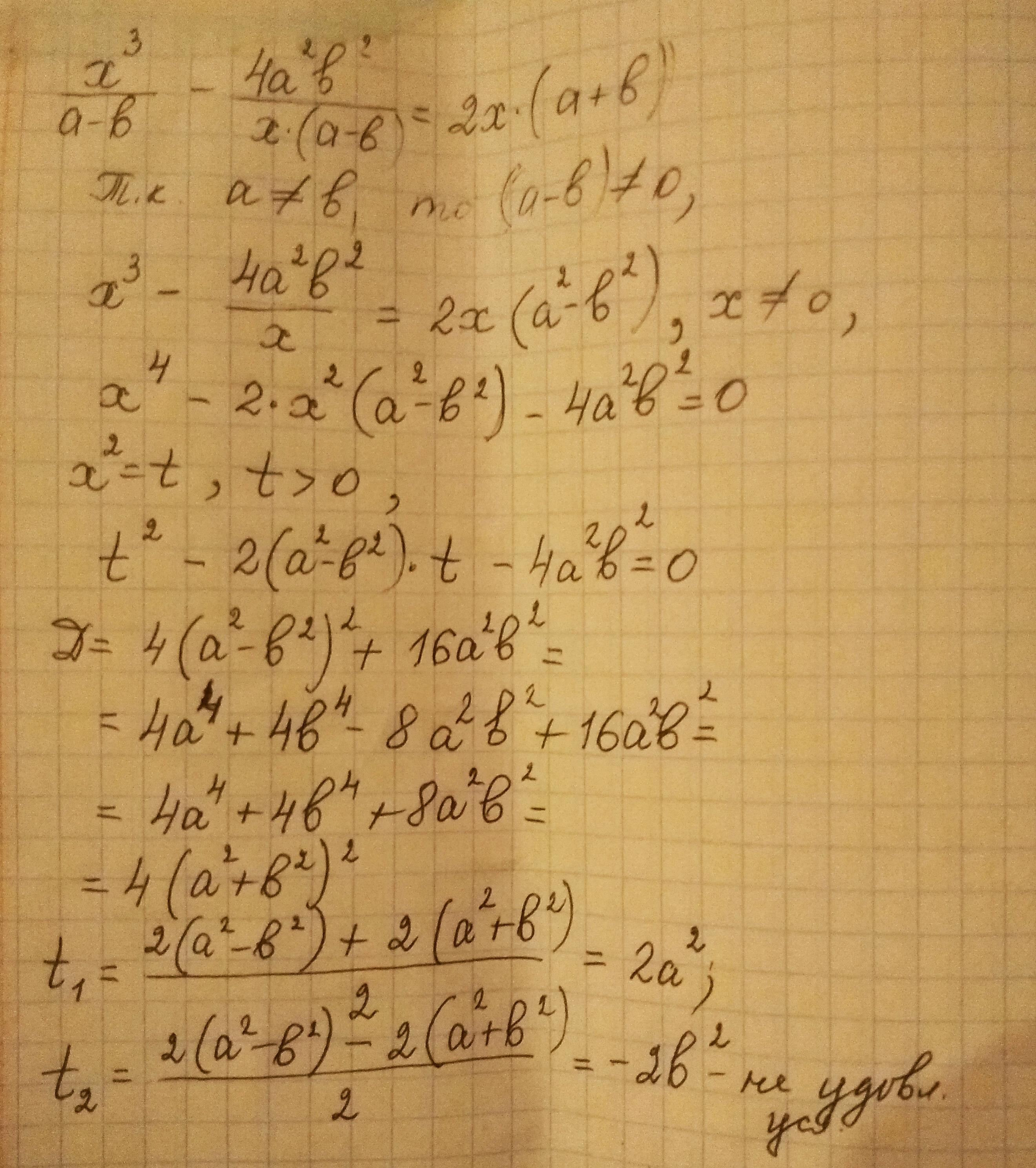
Ответ:
±а√2, где а ≠ 0.
Пошаговое объяснение:
см. прикреплённое изображение.
Приложения:


Ответ дал:
2
получилось биквадратное уравнение.
Замена:
(ОДЗ:
)
Замена:
Ответ под буквой С)
Вас заинтересует
2 года назад
2 года назад
7 лет назад
7 лет назад
9 лет назад