• Предмет: Геометрия
  • Автор: nikutakir0301
  • Вопрос задан 3 года назад

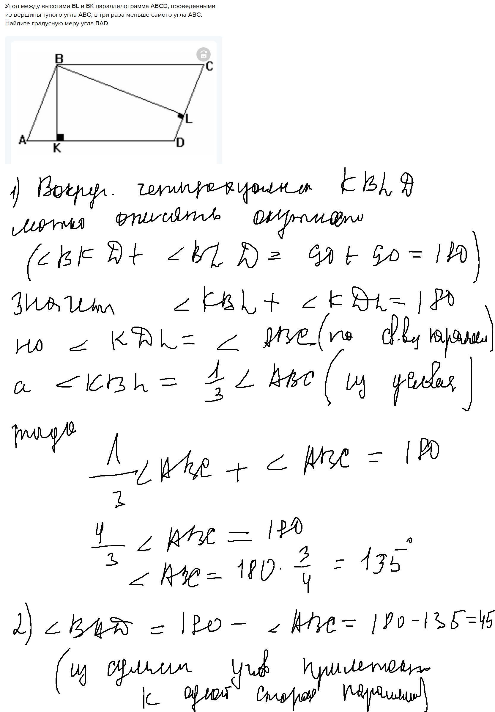
Угол между высотами BL и BK параллелограмма АВСD, проведенными из вершины тупого угла АВС, в три раза меньше самого угла АВС. Найдите градусную меру угла ВАD.

Приложения:

Ответы

Ответ дал: vikll
1

Ответ:

Объяснение:Угол между высотами BL и BK

Приложения:
Вас заинтересует