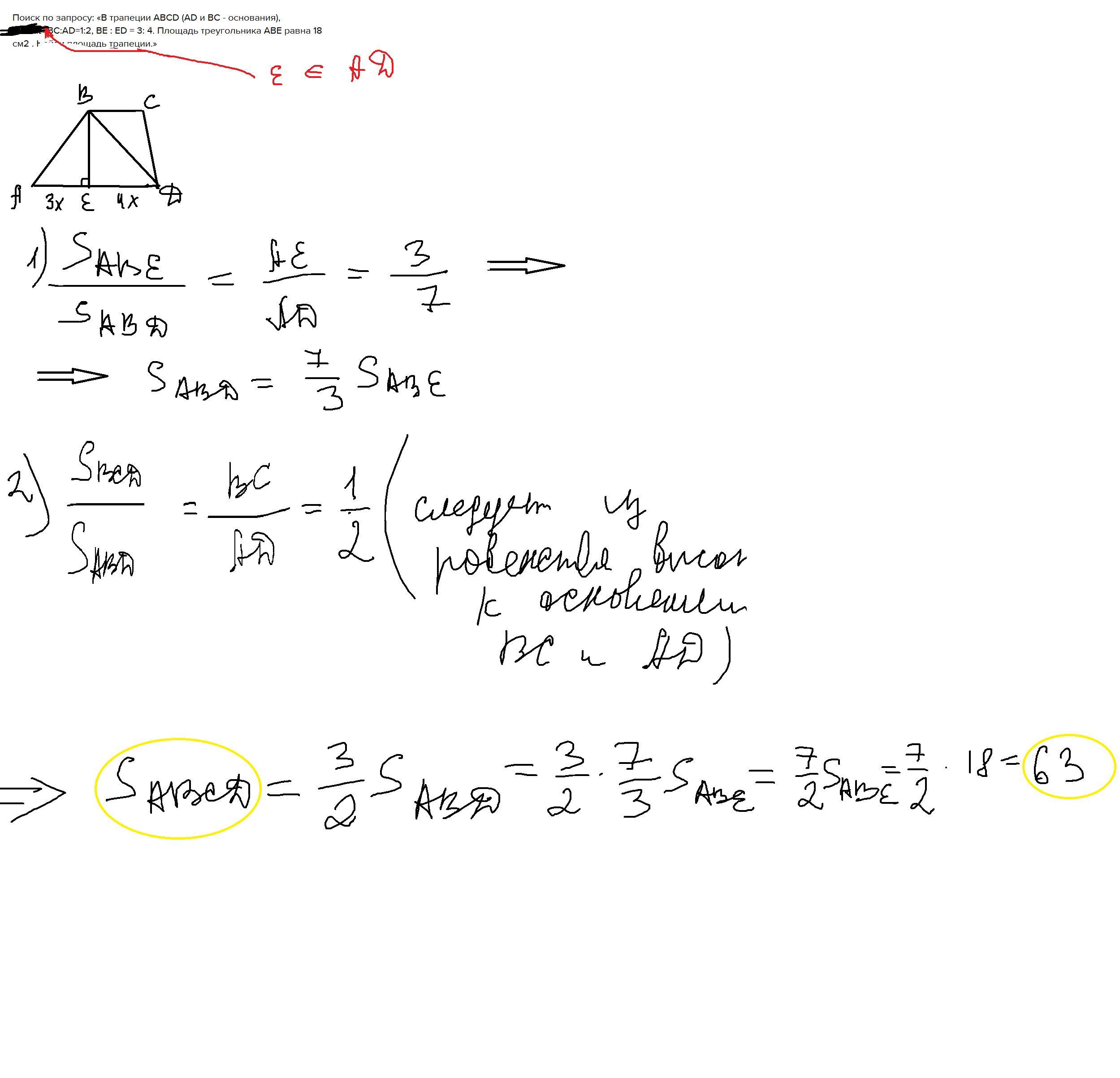
Поиск по запросу: «В трапеции ABCD (AD и BC - основания), BE⊥AD,BC:AD=1:2, BE : ED = 3: 4. Площадь треугольника ABE равна 18 см2 . Найди площадь трапеции.»
liftec74:
Ответ получился (297+81*sqrt(5))/2... Нет ли ответа в источнике? Если можно, то ссобщите пож какой ?
Ответы
Ответ дал:
1
Ответ:
Объяснение:То, что BE⊥AD ничего не дает, важнее то что Е ∈АD
Приложения:

Вас заинтересует
2 года назад
2 года назад
7 лет назад
7 лет назад
9 лет назад
9 лет назад