• Предмет: Математика
  • Автор: alimamoon994ss
  • Вопрос задан 3 года назад

Вы можете решить вопросы, пожалуйста?

Приложения:

Soyle: Не могу

Ответы

Ответ дал: planpeace
1

Ответ:

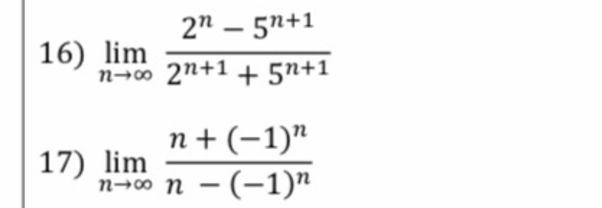
16)  \lim_{n \to \infty} \frac{2^n - 5*5^n}{2*2^n + 5*5^n} = \lim_{n \to \infty} \frac{(\frac{2}{5} )^n - 5}{2*(\frac{2}{5} )^n + 5} = \frac{0 - 5}{2*0 + 5}  = -1\\

17)  \lim_{n \to \infty} \frac{(n + (-1)^n)(n - (-1)^n)}{(n - (-1)^n)(n - (-1)^n)} = \lim_{n \to \infty} \frac{n^2 - 1}{n^2 - 2n*(-1)^n + 1} = \\=\frac{1 - \frac{1}{n^2} }{1 - \frac{2*(-1)^n}{n} + \frac{1}{n^2} }  = \frac{1 - 0}{1 - 0 + 0}  = 1


alimamoon994ss: Вопрос 16 в ответе есть недостаток
planpeace: какой?
alimamoon994ss: Нет выхода
alimamoon994ss: № 16
planpeace: Я не понял,что Вы имеете в виду.
alimamoon994ss: Вопрос № 16 не имеет результатов
planpeace: Почему?Я ж Вам расписал все
Вас заинтересует