• Предмет: Математика
  • Автор: dbdjsjgg777
  • Вопрос задан 3 года назад

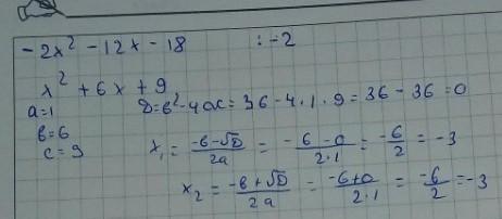
вынеси общий множитель -2x^2-12x-18, я так решил​

Приложения:

Ответы

Ответ дал: Аноним
6

Ответ:

Пошаговое объяснение:

Из условия видно, что это не уравнение, а математическое выражение, из которого нужно выделить общий множитель:

-2x²-12x-18=-2(x²+6x+9)

Ответ дал: binamaksimchuk
3

Ответ:

Пошаговое объяснение:

Уравнение вы решили правильно,но второй корень не надо вычислять,т.к. если D=0 уравнение имеет только один корень.

Если вам нужно разложить на множители трёхчлен,то записать нужно так:

-2x²-12x-18=(х+3)²

Если у вас задание вынести общий множитель,то    -2x^2-12x-18=

= -2*(х²+6х+9)

Вас заинтересует