• Предмет: Алгебра
  • Автор: bogdanirinkov
  • Вопрос задан 3 года назад

помогите решить 2 примера пж Срочно!

Приложения:

Ответы

Ответ дал: NNNLLL54
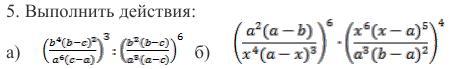
1

a)\ \ \Big(\dfrac{b^4(b-c)^2}{a^6(c-a)}\Big)^3:\Big(\dfrac{b^2(b-c)}{a^3(a-c)}\Big)^6=\dfrac{b^{12}(b-c)^6}{a^{18}(c-a)^3}\cdot \dfrac{a^{18}(a-c)^6}{b^{12}(b-c)^6}=\\\\\\=\dfrac{(c-a)^6}{(c-a)^3}=(c-a)^3\\\\\\b)\ \ \Big(\dfrac{a^2(a-b)}{x^4(a-x)^3}\Big)^6\cdot \Big(\dfrac{x^6(x-a)^5}{a^3(b-a)^2}\Big)^4=\dfrac{a^{12}(a-b)^6}{x^{24}(a-x)^{18}}\cdot \dfrac{x^{24}(x-a)^{20}}{a^{12}(b-a)^8}=\\\\\\=\dfrac{(a-b)^{6}(x-a)^{20}}{(x-a)^{18}(a-b)^8}=\dfrac{(x-a)^2}{(a-b)^2}

\star \ \ \ (a-b)^2=(b-a)^2=a^2-2ab+b^2\ \ \star

Вас заинтересует