Алгебра 11 класс! Срочно!!!
Приложения:

Jkearnsl:
это, скорее, 9-10-е классы :)
Ответы
Ответ дал:
1
Ответ:
зачем ответ, когда есть решение
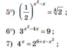
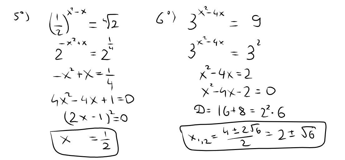
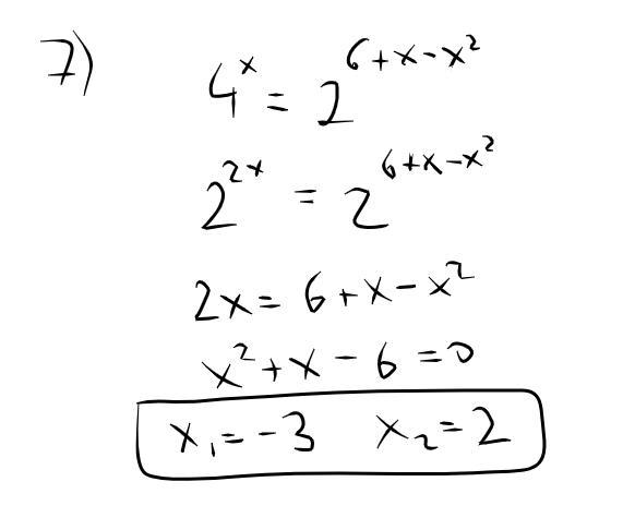
Решение:
на картинках
Приложения:


Вас заинтересует
2 года назад
2 года назад
2 года назад
7 лет назад
7 лет назад
9 лет назад