• Предмет: Алгебра
  • Автор: ElskerNorge
  • Вопрос задан 3 года назад

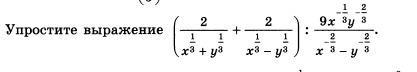
Прошу упростить выражение.

Приложения:

Ответы

Ответ дал: Regent1828
10

\displaystyle \tt \ \ \ \bigg(\frac{2}{x^{1/3}+y^{1/3}}+\frac{2}{x^{1/3}-y^{1/3}}\bigg):\frac{9x^{-1/3}y^{-2/3}}{x^{-2/3}-y^{-2/3}}=\\\\\\=\frac{2(x^{1/3}-y^{1/3})+2(x^{1/3}+y^{1/3})}{x^{2/3}-y^{2/3}}\cdot\frac{x^{-2/3}-y^{-2/3}}{9x^{-1/3}y^{-2/3}}=\\\\\\=\frac{4x^{1/3}x^{1/3}y^{2/3}(x^{-2/3}-y^{-2/3})}{9\cdot(x^{2/3}-y^{2/3})}=\frac{4x^{2/3}x^{-2/3}y^{2/3}-4x^{2/3}y^{2/3}y^{-2/3}}{9\cdot(x^{2/3}-y^{2/3})}=

\displaystyle \tt {} \ \ =\frac{4y^{2/3}-4x^{2/3}}{9\cdot(x^{2/3}-y^{2/3})}=-\frac{4\cdot(x^{2/3}-y^{2/3})}{9\cdot(x^{2/3}-y^{2/3})}=-\frac{4}{9};

Вас заинтересует