• Предмет: Алгебра
  • Автор: reydenstigp5l74r
  • Вопрос задан 3 года назад

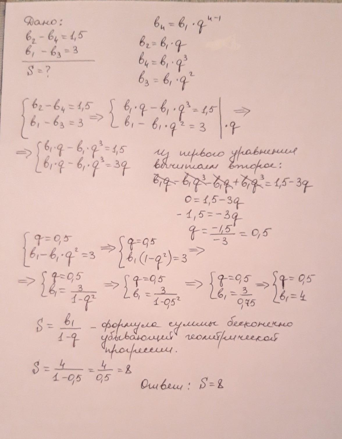
Знайдіть суму нескінченої геометричної прогресії , якщо b_{2} -b_{4} =1,5 і b_{1} -b_{3} =3
И распишите решение

Ответы

Ответ дал: sharofat0
1

Ответ:

S=8 сумма бесконечно убываю

щей геометрической прогрессии.

Объяснение:

Приложения:
Ответ дал: Аноним
2

Відповідь: S=8

Пояснення: фото

Приложения:
Вас заинтересует