• Предмет: Алгебра
  • Автор: meermanovn
  • Вопрос задан 3 года назад

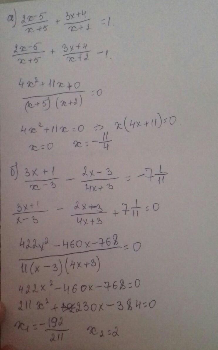
ПОЖАЛУЙСТА ОЧЕНЬ СРОЧНО! РЕШИТЕ ДРОБНЫЕ РАЦИОНАЛЬНЫЕ УРАВНЕНИЯ! ЗАДАЧКИ:А Б В.​

Приложения:

Ответы

Ответ дал: atamuradovaparvina
2

Ответ:

☆☆☆☆☆☆☆☆☆☆☆☆☆☆☆☆☆☆☆☆☆☆☆☆

Приложения:
Вас заинтересует