Ответы
Ответ дал:
1
Пошаговое объяснение:
Решения:
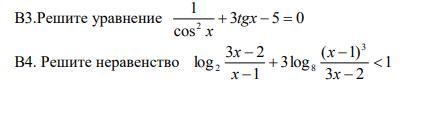
B3) 1+tg²x+3tgx-5
ОДЗ: x≠π/2+πk
ЗАМЕНА: tgx=t
t²+3t-4=0
по т. Виета:
t1=1;
t2=-4;
ОБРАТНАЯ ЗАМЕНА:
tgx=1 tgx=-4
x1=π/4 + πk x2= -arctg(4)+πk
B4) ОДЗ: x€(-∞;2\3)v(1;+∞)
решения во вложениях
Приложения:





trafimofazazar:
к B4 можно еще решение
Вас заинтересует
2 года назад
2 года назад
7 лет назад
7 лет назад