• Предмет: Математика
  • Автор: anastastasiia
  • Вопрос задан 3 года назад

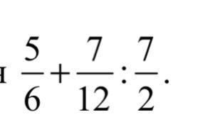
Найдите значение выражения

Приложения:

Ответы

Ответ дал: Аноним
1

1

Пошаговое объяснение:

5/6 + 7/12 : 7/2 = 5/6 + 1/6 = 1


anastastasiia: Можешь объяснить?
Аноним: Первое действие деление 7/12:7/2 = 7/12*2/7 при делении вторая дробь переворачивается и перемножаешь
Ответ дал: SilverGravity
1

Ответ:

\frac{5}{6} +\frac{7}{12} :\frac{7}{2} =1\\\\\1)  \frac{7}{12}:\frac{7}{2}  = \frac{7}{12} *\frac{2}{7} =\frac{1}{6\\} \\2) \frac{5}{6} +\frac{1}{6} = \frac{6}{6} =1

Пошаговое объяснение:

Вас заинтересует