• Предмет: Математика
  • Автор: aibraeva20102008
  • Вопрос задан 3 года назад

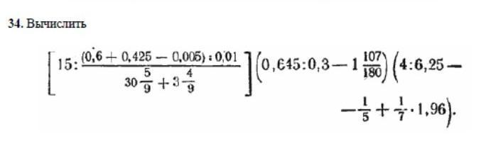
помогите пожалуйста ​

Приложения:

Ответы

Ответ дал: ISpaceI
1

Ответ:

2

Пошаговое объяснение:

Приложения:

aibraeva20102008: большое спасибо
Ответ дал: Quagmirew
1

Ответ: на фото

Пошаговое объяснение:

Приложения:

aibraeva20102008: спасибо
Вас заинтересует