• Предмет: Химия
  • Автор: dima23ilushkin
  • Вопрос задан 3 года назад

Рассчитайте величину энергии стабилизации кристаллическим полем в величинах Δо для комплекса K3[Mn(CN)6]. Ответ дайте в виде десятичной дроби.

Ответы

Ответ дал: Khadgar1111
1

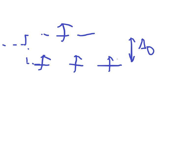
Ответ:

-0,6Δо

Объяснение:

Mn+3 - d4 элемент, причем высокоспиновый, октаэдрическое окружение, как видим три электрона на низкоуровневых орбиталях, а 1 на высоко, поэтому ЭСКП = 3*(-2/5Δо)+3/5Δо=-3/5Δо

Приложения:
Вас заинтересует