• Предмет: Математика
  • Автор: xasov95051
  • Вопрос задан 3 года назад

Я не понимаю выражение ... 2(а+в)с+с²... и далее в выражении. Именно этот момент пожалуйста объясните подробно. И не дайте коротких лаконичных ответов. Иначе 1 звезда и жалоба.

Приложения:

xasov95051: И ещё добавлю что этот пример из главы "Тожлественное преобразование многочленов".
Аноним: Я то же не понимая объясните пж. (просто я за лето всё забыла )
orjabinina: а формулу квадрат суммы помнишь?
Аноним: Это да

Ответы

Ответ дал: Klick
3

Ответ:

Пошаговое объяснение:

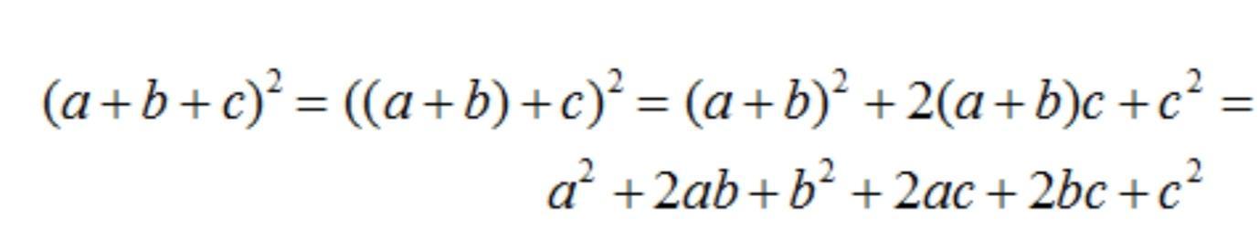
Чтобы понять этот момент, сначала надо разобраться с тем, что такое (x+y)^2

(x+y)^2=(x+y)(x+y)=x^2+xy+xy+y^2=x^2+2xy+y^2

Это довольно известная формула, проходится в школе и наверняка у тебя она была, это то, как раскрывается квадрат суммы двух слагаемых

Теперь, когда мы понимаем как раскрывается квадрат суммы двух слагаемых, можем ли мы понять как раскрывается квадрат суммы трех слагаемых?

То есть, еще раз, мы знаем что делать если слагаемых два (x+y)^2=x^2+2xy+y^2

А что делать если слагаемых три?

(a+b+c)^2=???

Можно попробовать применить хитрый ход и рассмотреть выражение a+b как одно слагаемое

Если это тяжело для понимания, то просто представь как будто ты сделала замену a+b=x; c=y

Тогда твое выражение (a+b+c)^2 превращается в (x+y)^2 и ты уже знаешь что с ним делать

У тебя (x+y)^2=x^2+2xy+y^2, после того как мы сделаем обратную замену (заменим x на a+b; y на c), получим следующую запись:

(a+b)^2+2(a+b)c+c^2

Пойдем дальше

(a+b)^2=a^2+2ab+b^2 (аналогично)

2(a+b)c=2ac+2bc

Итого

a^2+2ab+b^2+2ac+2bc+c^2, то что у них получилось в конце


xasov95051: Учитель можете мне объяснить как раскрыть эту скобку: 2(а+в)с?
xasov95051: У меня получается 2а+2с×с
xasov95051: *2а+2в×с
Klick: У тебя (a+в)с=ac+вс
Klick: 2(a+в)c это в 2 раза больше, то есть 2ac+2вс
xasov95051: Очень хорошо. Теперь всё понятно. Спасибо вам Klick. Вы потрудились.
Ответ дал: rzasad777
2

Ответ:

Выражение 2(a+b)c+c^2 следует из Квадрата суммы. Например: (a+b) ^2=a^2+2ab+b^2;

Одно и то же для этого выражения:((a+b) +c) ^2=квадрату первого, то есть (a+b) ^2 + удвоенное произведение первого на второй, то есть 2(a+b)c + квадрат второго, то есть c^2. Надеюсь смог тебе объяснить. Если какие то вопросы возникнут можешь спросить!)))


xasov95051: Учитель я не понял только как решить это: 2(а+в)с?
xasov95051: У меня получается это: 2а+2в×с
xasov95051: Всё уже не надо. Я понял. И вам тоже спасибо за подробный ответ.
rzasad777: Пожалуйста!)))
rzasad777: Если не трудно поблагодари меня за ответ.)))
rzasad777: Спасибо!)))
Вас заинтересует