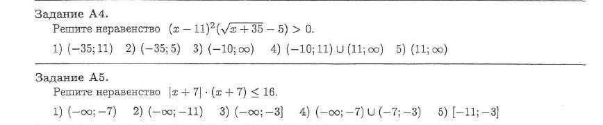
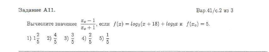
Помогите, пожалуйста, решить данные номера. Очень прошу написать подробное решение. Где можно найти похожие номера для тренировки? По каким темам данные номера?
Приложения:


Ответы
Ответ дал:
1
Решение задания прилагаю
Приложения:


Thomas64:
Большое спасибо за ваше решение! Подскажите, пожалуйста, насчёт нескольких моментов в решении. Отметил их в этом скриншоте: http://prntscr.com/tndpez
Вас заинтересует
2 года назад
2 года назад
2 года назад
9 лет назад