• Предмет: Математика
  • Автор: barentys
  • Вопрос задан 3 года назад

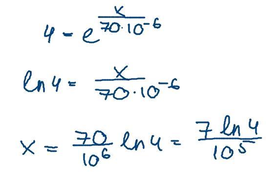
4=e^{x/(70*10^{-6}) } выразите х

Ответы

Ответ дал: Klick
1

Ответ:

Пошаговое объяснение:

Приложения:
Вас заинтересует