• Предмет: Алгебра
  • Автор: Pobeda20
  • Вопрос задан 3 года назад

Будь-ласка допоможіть!!
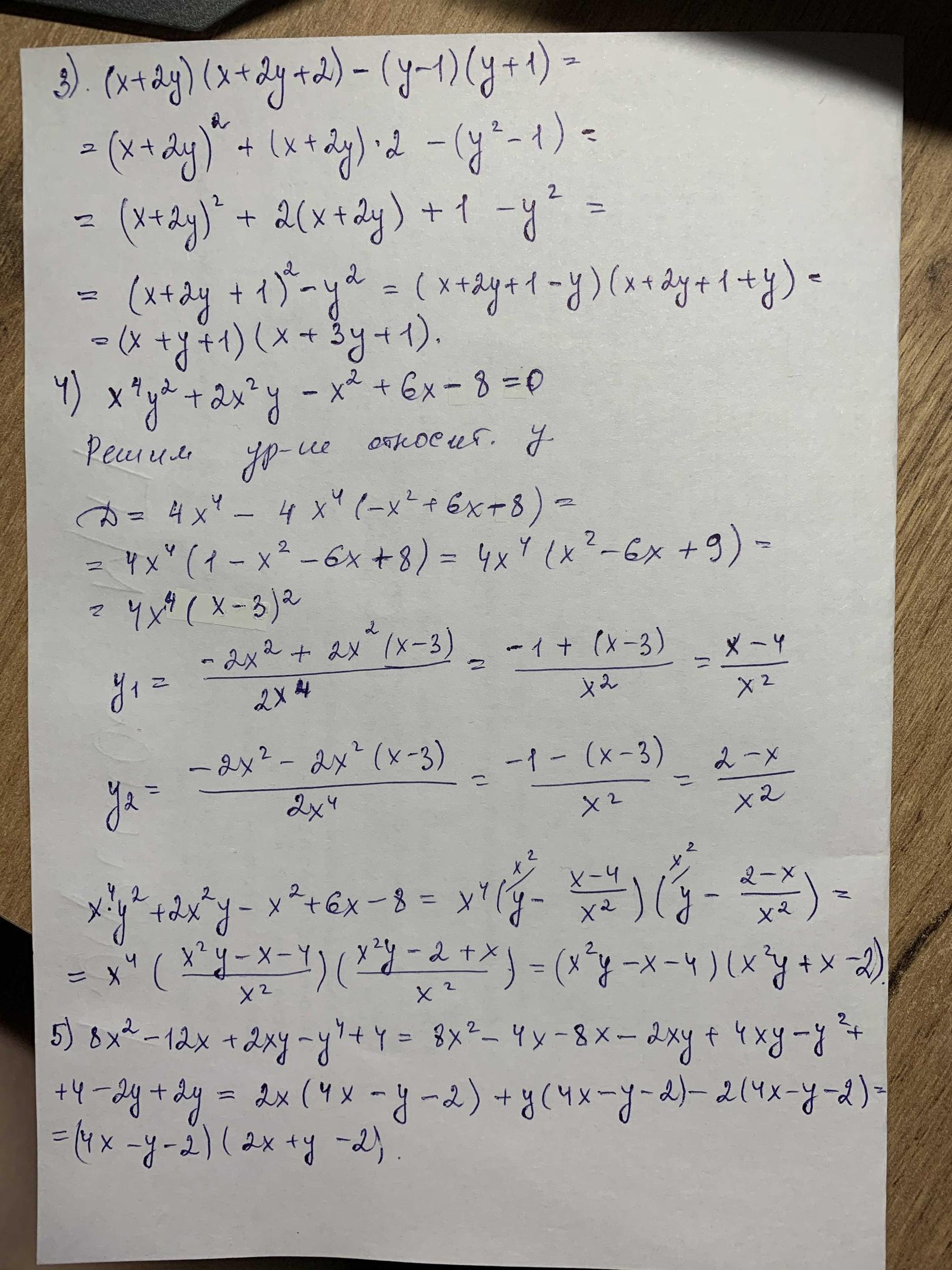
Розкладіть на множники : 1)x^4+4x^3+4x^2-9
2)x^2+2x-y^2+4y-3
3)(x+2y)(x+2y+2)-(y-1)(y+1) 4)x^4y^2+2x^2y-x^2+6x-8
5)8x^2-12x+2xy-y^2+4

Ответы

Ответ дал: vladlenak2307
2

Ответ:

     

Объяснение:    

                                                 

Приложения:
Вас заинтересует